请在 下方输入 要搜索的题目:

a) sindh

a) sindh

发布时间:2025-11-20 00:28:13
推荐参考答案 ( 由 题搜搜 官方老师解答 )
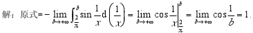
答案:
相关试题
登录 - 搜搜题库网
立即注册
注册 - 搜搜题库网
立即登录