请在
下方输入
要搜索的题目:
搜 索
59.(sap T
59.(sap T
发布时间:
2026-02-13 21:15:21
首页
国家电网试题
推荐参考答案
(
由 题搜搜 官方老师解答 )
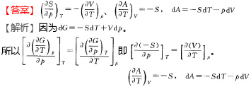
答案:
相关试题
1.
59.(sap T
2.
Which SAP products are built on SAP HANA?
3.
SAP是什么
4.
PAM,MAS;∴SAP。
5.
简答题:SAP是什么
6.
In the SAP Web IDE for SAP HANA, when you create a new SAP HANA database module, what is added to the
7.
计划导入SAP代码()
8.
ERP软件SAP属于()
9.
SAP Bus in ess Suite 是SAP核心产品之一,它以()为技术平台。
10.
59.行政执法决定的生效时间是()
登录 - 搜搜题库网
登录
立即注册
已购买搜题包,但忘记账号密码?
登录即同意
《服务协议》
及
《隐私政策》
注册 - 搜搜题库网
获取验证码
确认注册
立即登录
登录即同意
《服务协议》
及
《隐私政策》