请在 下方输入 要搜索的题目:

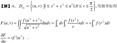
解】根据单调有界准则,应选B。6)设函数f(x)连续,F(u,v)y,其中区域D为图中阴影部分,则Fdu(A) vfu(C) vf (u)

解】根据单调有界准则,应选B。6)设函数f(x)连续,F(u,v)y,其中区域D为图中阴影部分,则Fdu(A) vfu(C) vf (u)

发布时间:2025-11-11 13:16:09
推荐参考答案 ( 由 题搜搜 官方老师解答 )
答案:
登录 - 搜搜题库网
立即注册
注册 - 搜搜题库网
立即登录