请在
下方输入
要搜索的题目:
搜 索
上升到1027℃
上升到1027℃
发布时间:
2025-11-11 11:24:34
首页
特岗教师
推荐参考答案
(
由 题搜搜 官方老师解答 )
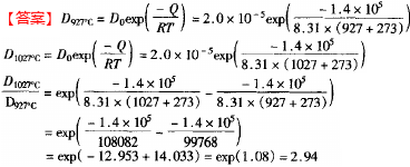
答案:
相关试题
1.
上升到1027℃
2.
胆总管内压力上升到哪个值时,肝脏分泌胆汁受到抑制
3.
我国国家创新指数由2000年的全球第38位上升到2010年的第20位。
4.
我国国家创新指数由2000年的全球第38位上升到2010年的第20位。
5.
SC型施工升降机坠落试验时,应在吊笼内装上额定载荷并把吊笼上升到离地面()左右高度后停住,然后进行试验。
6.
1937年11月()失守后,华北地区以国民党为主体的正规战争结束,以共产党为主体的游击战争上升到主要地位。
7.
该病人在术后11天出现咳嗽咳痰,痰为黄白色黏性,体温在下降至37.5℃后又上升到38.6~39.2℃,此时要考虑并发
8.
金砖五国经济占全球经济的比重,已经从10年前的12%上升到23%;金砖国家国际贸易占世界国际贸易的比
9.
如GDP由1980年中国占美国的7%,上升到2017年占美国GDP的( )。
10.
2020年,联合国电子政务调查报告显示,中国电子政务发展指数排名从2018年的全球第65位上升到2020年第( )位,达到全球电子政务发展"非常高"水平。
登录 - 搜搜题库网
登录
立即注册
已购买搜题包,但忘记账号密码?
登录即同意
《服务协议》
及
《隐私政策》
注册 - 搜搜题库网
获取验证码
确认注册
立即登录
登录即同意
《服务协议》
及
《隐私政策》