- 首页
- 特岗教师
答案:
-
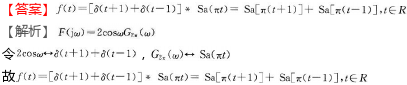
1.62.已知f(t)的F(jiu求
-
2.求下列函数值:(1)已知函数f(x)=x3-3x2+4x+5,求f(1),f(-2)(2)已知函数f(x)=-2x2+3x,求f(0),f(-1),f(-x)
-
3.【计算题】1.已知函数 ,求: f(0),f( ),f(-x),f(x 1),f( ).
-
4.8.下列等式不成立的是A(T-t)*2(t to)=f()*f().[(*)dtf2(t)A、f(t)*8(t)=f(n)B、f()*(t)=f(t
-
5.10.已知f(t)=(1 1)u( 1),则f(t)的单边拉氏变换F(s)为A F(s) =eB F(s) =eA、F(s)=1B、F(s)=1
-
6.5.已知y(t)=f(t)* h()= f(r)h(t- r)d则f(-t)※h(-t)f(t)w h'(t)=(3t)*h(3t)=果请用y(t)表示)
-
7.已知f(x)是二次函数,且满足f(2x) f(3x 1)=26x2 7x 6,求f(x)的解析式.
-
8.9.已知信号f(t)的傅里叶变换F(j)=u( ay)-u(-a),则f(t)为ASAA、2ax Sa(s t)B、2a, Sa(
-
9.C.f(t)*(t)=f(t)D.f(t)*(t)=f(t)
-
10.5.已知信号f(t)的傅里叶变换F(ja)=u(x ay)-u(-),则f(t)为A Se(C 2u Sa(as t)D Za Sa