请在
下方输入
要搜索的题目:
搜 索
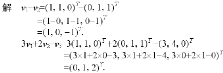
1.设v=(1,1,0),v2=(0,1,1),=(3,4,0),求v-
1.设v=(1,1,0),v2=(0,1,1),=(3,4,0),求v-
发布时间:
2025-11-11 17:17:17
首页
智慧树
推荐参考答案
(
由 题搜搜 官方老师解答 )
答案:
相关试题
1.
1.设v=(1,1,0),v2=(0,1,1),=(3,4,0),求v-
2.
设aa求lima
3.
系(A)V2=V1 VB)V2=2v1-V0;(C)V2=V1-2v0
4.
设u=u(χ,y)由方程u=φ(u) ∫yχ(t)dt确定,求,其中φ(u)≠1.
5.
1.求极限imco的值
6.
设a>0,b>0,a≠b,求
7.
day3.设y=1 xe',求
8.
FS708TL V2
9.
设x= uin udu, y-,rnd,求
10.
某电路如图所示,试求电压等于( )V。
登录 - 搜搜题库网
登录
立即注册
已购买搜题包,但忘记账号密码?
登录即同意
《服务协议》
及
《隐私政策》
注册 - 搜搜题库网
获取验证码
确认注册
立即登录
登录即同意
《服务协议》
及
《隐私政策》