请在
下方输入
要搜索的题目:
搜 索
2)(an>0
2)(an>0
发布时间:
2026-01-06 20:01:02
首页
特岗教师
推荐参考答案
(
由 题搜搜 官方老师解答 )
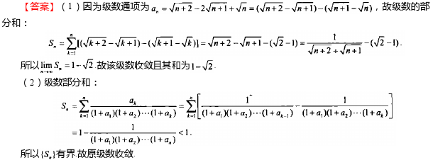
答案:
相关试题
1.
2)(an>0
2.
若集合A={x|A、(-∞,0]∪( 2 2 , ∞)B、( 2 2 , ∞)C、(-∞,0]∪[ 2 2 , ∞)D、[ 2 2 , ∞)
3.
l-a u(2)0=5,u1=0
4.
a=[1 2 0;1 0 5];b=[0 2 3;1 5 0];c=a|b,则c等于
5.
x23sin-x≠0(2)y=
6.
0 1 2 3 4
7.
2>914a2179军0>7q
8.
矩阵[left[ {egin{array}{*{20}{c}} {m{0}}&{m{0}}&{m{5}}&{m{2}}\ {m{0}}&{m{0}}&{m{2}}&{m{1}}\ {m{4}}&{m{2
9.
O/V:0)PC(2) AIC
10.
0 1 2 3 conditionals exercises
登录 - 搜搜题库网
登录
立即注册
已购买搜题包,但忘记账号密码?
登录即同意
《服务协议》
及
《隐私政策》
注册 - 搜搜题库网
获取验证码
确认注册
立即登录
登录即同意
《服务协议》
及
《隐私政策》