请在
下方输入
要搜索的题目:
搜 索
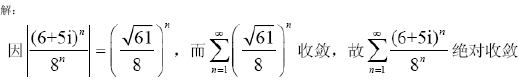
(2)5(6 5i)8
(2)5(6 5i)8
发布时间:
2026-02-19 00:20:16
首页
国家电网试题
推荐参考答案
(
由 题搜搜 官方老师解答 )
答案:
相关试题
1.
(2)5(6 5i)8
2.
将矩阵a=[1 2 3;4 5 6;7 8 9]改变成 b=[3 6 9;2 5 8;1 4 7]的命令是( )。
3.
5^2 *5^3=5^6
4.
函数f(x)=A、- 6 5 <a< 3 16B、- 8 5 <a<- 3 16C、- 8 5 <a<- 1 16D、- 6 5 <a<- 3 16
5.
5 6 | 5 4 3 | 2 1 7 | 6 5 3
6.
A.5 4 3 6 1 2B.4 5 3 1 2 6C.3 4 6 5 2 1D.2 3 4 1 5 6
7.
解:48÷6=8(个)45÷5=9(个)9>8
8.
生成: 6 7 8 6 7 8 6 7 8
9.
填空题:()—0 = 6;()—6=1;()—8=1;()—7 = 2;()—9 = 0
10.
已知cos(A、2- 15 6B、2 15 6C、2 3 - 5 6D、2 3 5 6
登录 - 搜搜题库网
登录
立即注册
已购买搜题包,但忘记账号密码?
登录即同意
《服务协议》
及
《隐私政策》
注册 - 搜搜题库网
获取验证码
确认注册
立即登录
登录即同意
《服务协议》
及
《隐私政策》