请在
下方输入
要搜索的题目:
搜 索
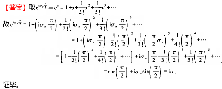
80.证明ein2=ia为泡利矩阵。
80.证明ein2=ia为泡利矩阵。
发布时间:
2025-11-09 15:34:35
首页
国家电网试题
推荐参考答案
(
由 题搜搜 官方老师解答 )
答案:
相关试题
1.
80.证明ein2=ia为泡利矩阵。
2.
80.学校发展战略
3.
ia geminis
4.
正常肺腺泡直径为
5.
设A为n阶方阵, A*为A的伴随矩阵,则3A的伴随矩阵(3A)*为3A*.
6.
若矩阵A和矩阵B为同阶方阵,则AB=BA。( )
7.
Ia beer and sandwich
8.
IA
9.
80. Warum will Hassan in Deutschland bleiben?
10.
80.射线作业,必须穿戴( )。
登录 - 搜搜题库网
登录
立即注册
已购买搜题包,但忘记账号密码?
登录即同意
《服务协议》
及
《隐私政策》
注册 - 搜搜题库网
获取验证码
确认注册
立即登录
登录即同意
《服务协议》
及
《隐私政策》