请在
下方输入
要搜索的题目:
搜 索
74.√2
74.√2
发布时间:
2025-11-11 21:56:02
首页
智慧树
推荐参考答案
(
由 题搜搜 官方老师解答 )
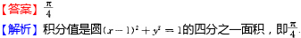
答案:
相关试题
1.
74.√2
2.
74.黑点 black spot
3.
74.关于中油好客e站
4.
74.职业生涯发展性的特点分为( )四个阶段。
5.
74.国务院食品药品监督管理部门负责对食品生产经营活动实施监督管理。
6.
1*2*2*2*2*2*2*2*2*2*2*2*2
7.
2(a﹣2) 2 ﹣a(a 2) (a 2)(a﹣2),其中a=﹣2.
8.
()[﹣.5 2 (﹣ ) 2 ﹣|﹣2 2 ﹣4| (2 ) 2 25 ]247(.) 2 (2) ﹣2 3 ﹣4 … (2k﹣) ﹣2k …﹣2 (3) .
9.
2 2*(2*2-2)%2/3
10.
若集合A={x|A、(-∞,0]∪( 2 2 , ∞)B、( 2 2 , ∞)C、(-∞,0]∪[ 2 2 , ∞)D、[ 2 2 , ∞)
登录 - 搜搜题库网
登录
立即注册
已购买搜题包,但忘记账号密码?
登录即同意
《服务协议》
及
《隐私政策》
注册 - 搜搜题库网
获取验证码
确认注册
立即登录
登录即同意
《服务协议》
及
《隐私政策》