请在
下方输入
要搜索的题目:
搜 索
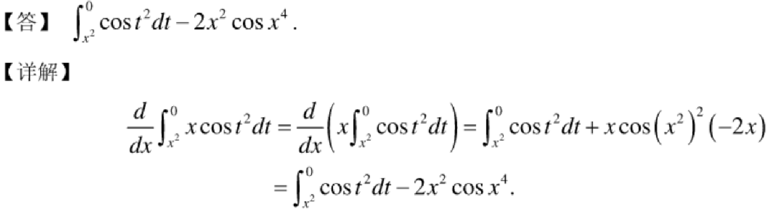
d(2)dr J xcost'dt_
d(2)dr J xcost'dt_
发布时间:
2025-11-20 14:30:35
首页
特岗教师
推荐参考答案
(
由 题搜搜 官方老师解答 )
答案:
相关试题
1.
d(2)dr J xcost'dt_
j==j>k);">
2.
int i,j,k;i=1;j=2;k=3;printf("%d\n",i>j==j>k);
3.
62.(2 2)8(2--)dr=
4.
(e- )( 2)dr[e()]
5.
dash dæJ]
6.
(r2 2)8(2-r)dr=
7.
(r2 2)8(2--)dr=
8.
13dx J d d f()dx
9.
e-r t)o(t 2)dr[e a()]
10.
s=0 for i in range(2): for j in range(2): s=s i j print(s)A.2B.4C.6D.8
登录 - 搜搜题库网
登录
立即注册
已购买搜题包,但忘记账号密码?
登录即同意
《服务协议》
及
《隐私政策》
注册 - 搜搜题库网
获取验证码
确认注册
立即登录
登录即同意
《服务协议》
及
《隐私政策》