请在 下方输入 要搜索的题目:

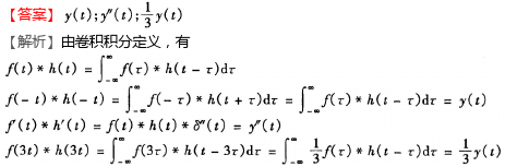
()=f()* h()=f(r)h(t-r)df(t)* h(t)=f(3t)*h(3t)=

()=f()* h()=f(r)h(t-r)df(t)* h(t)=f(3t)*h(3t)=

发布时间:2025-12-30 00:14:05
推荐参考答案 ( 由 题搜搜 官方老师解答 )
答案:
登录 - 搜搜题库网
立即注册
注册 - 搜搜题库网
立即登录