- 首页
- 国家电网试题
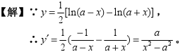
答案:
-
1.)y=Ind-a 3
-
2.(3) y= X -sin y
-
3.50=(s)y 3)(1 S)(3
-
4.(3)y th(n x)
-
5.(3) y=logan() (o,>0,1)
-
6.(3)A= y'i yj xk
-
7.(3) f(x, y,z)= ry y = l,x y z= 0.
-
8.int x,y,z; x=y=l; z(x , ty,y ); x=答案】2、3、2
-
9.x=3,y=4,z=5,执行以下语句if(x>z)[x=y;y=z;z=x;] else [x=z;z=y;y=x;] x=__y= __z= __。
-
10.Y,y联结有1、3、5、7、9、11六个联结组号