请在
下方输入
要搜索的题目:
搜 索
l in r(8)dr(x In x
l in r(8)dr(x In x
发布时间:
2025-11-16 18:52:52
首页
智慧树
推荐参考答案
(
由 题搜搜 官方老师解答 )
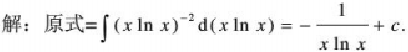
答案:
相关试题
1.
l in r(8)dr(x In x
2.
8。x2- r dr=
3.
05 x(dr
4.
f(x) f(x)f"(r)f'(x) f(r)
5.
f(x)dr=U()P dr
6.
设u=u(r),r=√x x … x,n≥3,若u满足
7.
T h e m e d i a n n e r v e a r i s e f r o m t h e ( )A . c e r v i c a l p l e x u s B . b r a c h
8.
与公式("x)(P(x)∧Q(x, y))Þ($x)R(x, y)等值的是( )。
9.
2x 3=x﹣8
10.
r
登录 - 搜搜题库网
登录
立即注册
已购买搜题包,但忘记账号密码?
登录即同意
《服务协议》
及
《隐私政策》
注册 - 搜搜题库网
获取验证码
确认注册
立即登录
登录即同意
《服务协议》
及
《隐私政策》