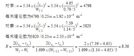
某YWG-C<sub>18</sub>H<sub>37</sub>4.6mm×25cm柱,以甲醇-水(80:20)为流动相,记录纸速为5mm/min,测得苯和萘的t<sub>r</sub>和W<sub>1</sub>/<sub>2</sub>分别为4.65和7.39(min),0.79和1.14(mm)。求柱效和分离度。
某YWG-C18H374.6mm×25cm柱,以甲醇-水(80:20)为流动相,记录纸速为5mm/min,测得苯和萘的tr和W1/2分别为4.65和7.39(min),0.79和1.14(mm)。求柱效和分离度。
发布时间:2026-01-26 18:49:32
