请在
下方输入
要搜索的题目:
搜 索
im(x→02x2r
im(x→02x2r
发布时间:
2026-01-07 16:55:42
首页
特岗教师
推荐参考答案
(
由 题搜搜 官方老师解答 )
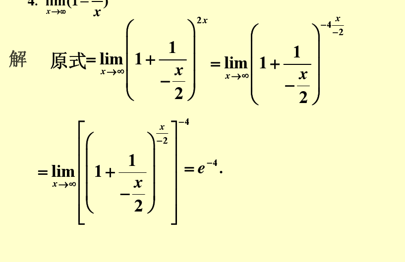
答案:
相关试题
1.
im(x→02x2r
2.
《IM》
3.
IM是
4.
冲击系数 k im 的数值变化范围是 ( )A、0 ≤ k im ≤ 1B、1 ≤ k im ≤ 2C、0 ≤ k im ≤ 2D、1 ≤ k im ≤ 3E、[参考答案]: B
5.
29.求im
6.
embark /(im爸k)
7.
Das Oktoberfest beginnt im ________.
8.
6.求im(1ST
9.
Im(s)Re(s)
10.
x x x x x x x x x x x x x x x x x x x x x x x x x x x x x x x x()
登录 - 搜搜题库网
登录
立即注册
已购买搜题包,但忘记账号密码?
登录即同意
《服务协议》
及
《隐私政策》
注册 - 搜搜题库网
获取验证码
确认注册
立即登录
登录即同意
《服务协议》
及
《隐私政策》