请在
下方输入
要搜索的题目:
搜 索
VC12请证明:(av)HC T
VC12请证明:(av)HC T
发布时间:
2026-02-21 17:28:49
首页
国家电网试题
推荐参考答案
(
由 题搜搜 官方老师解答 )
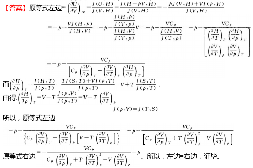
答案:
相关试题
1.
VC12请证明:(av)HC T
2.
VC51.请证明:(av)HC TOT
3.
VC58.请证明: av )H C. av)nt
4.
12.请证明:Cpm-Cvm=.其1 av
5.
33.证明:( av) (av) avntat
6.
晶闸管通态平均电流I T(AV
7.
VCP请证明:JvJHnv TTat
8.
16.请证明:Vn=aVCBduavnvTat
9.
VCP38.请证明:(vC TOT
10.
46.请证明:Vn=VVCavavC Tntat
登录 - 搜搜题库网
登录
立即注册
已购买搜题包,但忘记账号密码?
登录即同意
《服务协议》
及
《隐私政策》
注册 - 搜搜题库网
获取验证码
确认注册
立即登录
登录即同意
《服务协议》
及
《隐私政策》