请在
下方输入
要搜索的题目:
搜 索
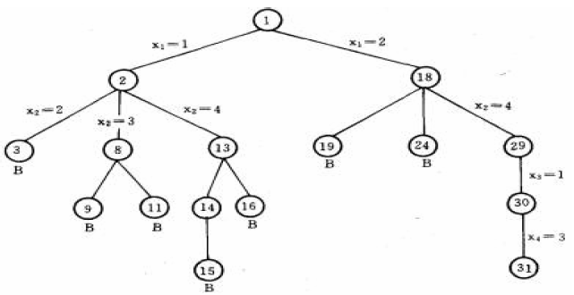
请画出用回溯法解4皇后问题的解空间树和搜索空间树:
请画出用回溯法解4皇后问题的解空间树和搜索空间树:
发布时间:
2025-11-29 10:49:29
首页
学习通答案
推荐参考答案
(
由 题搜搜 官方老师解答 )
答案:
解空间树:
用回溯法的搜索空间树:
相关试题
1.
请画出用回溯法解4皇后问题的解空间树和搜索空间树:
2.
一个平差问题,用条件平差解算和间接平差解算的结果可能不一致。
3.
运输问题不一定存在最优解。 ( )
4.
“空间想象和分类计数”问题重在培养学生的空间想象能力和什么能力
5.
9,求解定解问题=0=0OK a
6.
树麻雀属于( )
7.
滕树广
8.
MM無稅論用來解釋:
9.
誤解
10.
(bTDD解
登录 - 搜搜题库网
登录
立即注册
已购买搜题包,但忘记账号密码?
登录即同意
《服务协议》
及
《隐私政策》
注册 - 搜搜题库网
获取验证码
确认注册
立即登录
登录即同意
《服务协议》
及
《隐私政策》