请在
下方输入
要搜索的题目:
搜 索
1.4In ln rdrlnz
1.4In ln rdrlnz
发布时间:
2025-10-29 01:23:39
首页
国家电网试题
推荐参考答案
(
由 题搜搜 官方老师解答 )
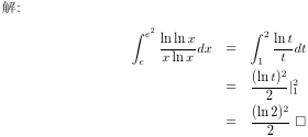
答案:
相关试题
1.
1.4In ln rdrlnz
2.
ln皮革
3.
1 1nxd(ln x
4.
y=ln(x+1)的反函数是
5.
已知函数z=ln(x+y2),求
6.
Hannover liegt ____ Köln und Berlin.
7.
函数y=ln(x-1)的反函数是()
8.
6570 Balsam Ln NMaple Grove, MN 55369
9.
函数y=ln(x-1)(x>1)的反函数是
10.
Zwei Jahre später ist ihre Familie nach Köln umgezogen.
登录 - 搜搜题库网
登录
立即注册
已购买搜题包,但忘记账号密码?
登录即同意
《服务协议》
及
《隐私政策》
注册 - 搜搜题库网
获取验证码
确认注册
立即登录
登录即同意
《服务协议》
及
《隐私政策》