请在
下方输入
要搜索的题目:
搜 索
(1)lim-∑1 nl->co nn
(1)lim-∑1 nl->co nn
发布时间:
2025-10-09 08:45:31
首页
国家电网试题
推荐参考答案
(
由 题搜搜 官方老师解答 )
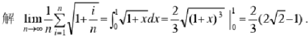
答案:
相关试题
1.
(1)lim-∑1 nl->co nn
2.
181 co 1 cs2 …
3.
1 1 1 1 1 1 1 1 1 1 1 1 1 1 1 1 1=
4.
A、1=1B、1=1 1C、1=1 1 1D、1=1 1 1 1
5.
1 1 1 1 1 0 1 1 1 1 0 0 1 1 1 0 0 0 1 1 0 0 0 0 1
6.
1 1 1 1 10 1 1 1 10 0 1 1 10 0 0 1 10 0 0 0 1
7.
1 + 1 = 1
8.
1*1:1
9.
(2 1)(22 1)(24 1)(28 1)(216 1) 1=______.
10.
设α∈{-1,A、1 3 ,3B、-1, 1 3 ,3C、-1,3D、-1, 1 3
登录 - 搜搜题库网
登录
立即注册
已购买搜题包,但忘记账号密码?
登录即同意
《服务协议》
及
《隐私政策》
注册 - 搜搜题库网
获取验证码
确认注册
立即登录
登录即同意
《服务协议》
及
《隐私政策》