请在
下方输入
要搜索的题目:
搜 索
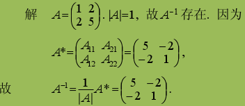
(1)(25);
(1)(25);
发布时间:
2025-11-12 08:39:32
首页
智慧树
推荐参考答案
(
由 题搜搜 官方老师解答 )
答案:
相关试题
1.
(1)(25);
2.
“蒙古马精神”提出的具体时间是( )A.2014/1/27B.2014/1/26C.2014/1/28D.2014/1/25
3.
25( )= 25( )= 25( )=
4.
-1, 32, 0, 64, 25, ( )。A、12B、140C、8D、124
5.
(-3)25[(- ) - ]=(-3)25( ) (-3)25( ) (-3)25( )=( )。
6.
已知D(X)=1,D(Y)=25,ρXY=0.4,则D(X-Y)=( )
7.
湿度≤25% 温度25±5℃
8.
سيلوكينزوك 25 بعد الفطار
9.
Напишите сочинение на тему «Дорога в будущее открыта для каждого». (25 баллов)
10.
计算:(.4) 29 25(-25) 29 =( )。
登录 - 搜搜题库网
登录
立即注册
已购买搜题包,但忘记账号密码?
登录即同意
《服务协议》
及
《隐私政策》
注册 - 搜搜题库网
获取验证码
确认注册
立即登录
登录即同意
《服务协议》
及
《隐私政策》