请在
下方输入
要搜索的题目:
搜 索
23.√2x-xd=
23.√2x-xd=
发布时间:
2026-01-08 22:26:21
首页
智慧树
推荐参考答案
(
由 题搜搜 官方老师解答 )
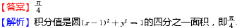
答案:
相关试题
1.
23.√2x-xd=
2.
23. Ontario
3.
23.信访办
4.
23.对比
5.
23.高速公路
6.
23.人MO
7.
23. painter locker
8.
23.连续竞价
9.
23.文件系统用()管理文件。
10.
23.牙买加协议( Jamaica Accords
登录 - 搜搜题库网
登录
立即注册
已购买搜题包,但忘记账号密码?
登录即同意
《服务协议》
及
《隐私政策》
注册 - 搜搜题库网
获取验证码
确认注册
立即登录
登录即同意
《服务协议》
及
《隐私政策》