请在
下方输入
要搜索的题目:
搜 索
加热63
加热63
发布时间:
2026-01-09 18:48:56
首页
智慧树
推荐参考答案
(
由 题搜搜 官方老师解答 )
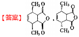
答案:
相关试题
1.
加热63
2.
63·ap)rdt
3.
2, 3, 7, 16, ( )A、66B、65C、64D、63
4.
加热三氧化铬
5.
63、如何增加数据同步插件处理并发数?
6.
电缆加热校直时,中间接头部位需持续加热(____)h。
7.
加热有气体生成
8.
加热改色玛瑙属于
9.
对乙醚、二硫化碳、丙酮进行水浴加热时,应从冷水开始加热。()
10.
在众多加热方法里制药中最普遍的加热方法有
登录 - 搜搜题库网
登录
立即注册
已购买搜题包,但忘记账号密码?
登录即同意
《服务协议》
及
《隐私政策》
注册 - 搜搜题库网
获取验证码
确认注册
立即登录
登录即同意
《服务协议》
及
《隐私政策》