请在
下方输入
要搜索的题目:
搜 索
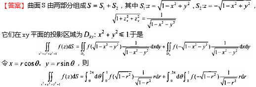
43.证明:对连续函数f(x)有ff(xs=2mrnd
43.证明:对连续函数f(x)有ff(xs=2mrnd
发布时间:
2025-11-18 13:36:56
首页
国家电网试题
推荐参考答案
(
由 题搜搜 官方老师解答 )
答案:
相关试题
1.
43.证明:对连续函数f(x)有ff(xs=2mrnd
2.
若f(x)是连续函数,则∫ f(o)dr du=(x-)fdn
3.
在F[x]中,有f
4.
f(x) f(x)f"(r)f'(x) f(r)
5.
下列谓词公式是等价的有()。A.┐(∀x)A(x)⇔(∃x)┐A(x)B.┐(∃x)A(x)⇔(∀x)┐A(x)C.┐(∃x)(M(x)∧┐F(x))⇔(∀x)(M(x)→F(x))D.
6.
3.设F(X是f(x)的原函数,且F(x)·f(x)=2(1)2.F(0)=1(F(x)>0)求F(x)及fx
7.
(g)若函数fx满足方程f(x) f"(x)-2f(x)=0及f"(x) f(x)=2e,
8.
【计算题】1.已知函数 ,求: f(0),f( ),f(-x),f(x 1),f( ).
9.
6.设f(x)=fx2≤0则f(-x)等于(x2 x),x>0.B f(-r)≤0D
10.
7.设邱x)连续证明Dady).(d ( taree 1)f(z)dz.
登录 - 搜搜题库网
登录
立即注册
已购买搜题包,但忘记账号密码?
登录即同意
《服务协议》
及
《隐私政策》
注册 - 搜搜题库网
获取验证码
确认注册
立即登录
登录即同意
《服务协议》
及
《隐私政策》