请在
下方输入
要搜索的题目:
搜 索
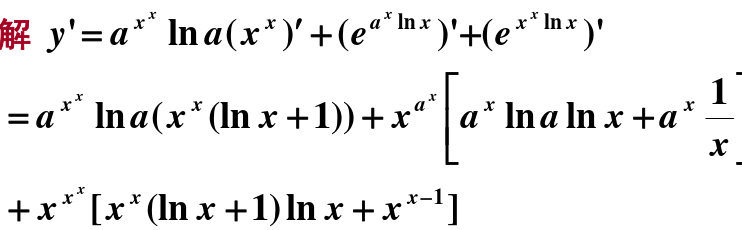
y= a" x" x* (a
y= a" x" x* (a
发布时间:
2026-02-14 11:10:41
首页
学习通答案
推荐参考答案
(
由 题搜搜 官方老师解答 )
答案:
相关试题
1.
下列哪一项等同于x!=y?: ! (x == y)|x > y && x < y|x > y || x < y|x >= y || x <= y
2.
x /= x*y z等价的语句是 。A、x=x/(x*y z)B、x=x/x*y zC、x=(x*y z/)xD、x=x*y z/x
3.
x y r (4)y x y xx y x y
4.
y= a" x" x* (a
5.
[单选] 若yA . y=y(x) B . y=y(x) cC . y=y(x) cD . y=y(x) c
6.
与x > y and y > z 语句等价的是( )A、x > y or not y < zB、not x < y or y < zC、not x < y or not y < zD、x > y > z
7.
x=3,y=4,z=5,执行以下语句if(x>z)[x=y;y=z;z=x;] else [x=z;z=y;y=x;] x=__y= __z= __。
8.
Using DeMorgan’s Law, write an expression for the complement of F if F(x,y,z) = xy xz yz.
9.
A.CV( X ) < CV( Y )B.CV( X ) > CV( Y )C.CV( X ) = CV( Y )D.CV( X ) = 5 CV( Y )
10.
"x F(x,y) → ¬ $y G(x,y)的前束范式
登录 - 搜搜题库网
登录
立即注册
已购买搜题包,但忘记账号密码?
登录即同意
《服务协议》
及
《隐私政策》
注册 - 搜搜题库网
获取验证码
确认注册
立即登录
登录即同意
《服务协议》
及
《隐私政策》