请在
下方输入
要搜索的题目:
搜 索
求o e el-dz.
求o e el-dz.
发布时间:
2025-12-29 12:21:21
首页
特岗教师
推荐参考答案
(
由 题搜搜 官方老师解答 )
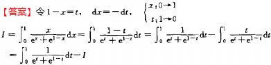
答案:
相关试题
1.
求o e el-dz.
2.
T e n e p bB 3 T o e p e B H e (C T p o M T b) M H o r o
3.
K o r a o T e u B e p H y JI C s O M o n, o 4 b I e JI a II O M a Iu Hh e 3 a a H
4.
B (6 o JI b u o n I e c) p a c T y T M o I o bl e e p e B
5.
H e c n e f H a K o M, T o p o n H C b A e n o M (10
6.
B I p o W O M r o I y B H T H B K H T a e, O H e 3 I M nA M e p H K ya 6 o T yA、H e o bi JI oB、H e o
7.
O IH a bl T a e J o 3 a 6 o J e JI B o p M c. T p H M e c
8.
105.求Io e el-,dz
9.
R K o M y JI e T o M T bl C M a M o n II o ee M B e p e
10.
M o JI o b e I H M e y T a lo T (x o p o l a a p a 6 o T
登录 - 搜搜题库网
登录
立即注册
已购买搜题包,但忘记账号密码?
登录即同意
《服务协议》
及
《隐私政策》
注册 - 搜搜题库网
获取验证码
确认注册
立即登录
登录即同意
《服务协议》
及
《隐私政策》