请在
下方输入
要搜索的题目:
搜 索
1 x→0
1 x→0
发布时间:
2025-11-15 20:43:32
首页
国家电网试题
推荐参考答案
(
由 题搜搜 官方老师解答 )
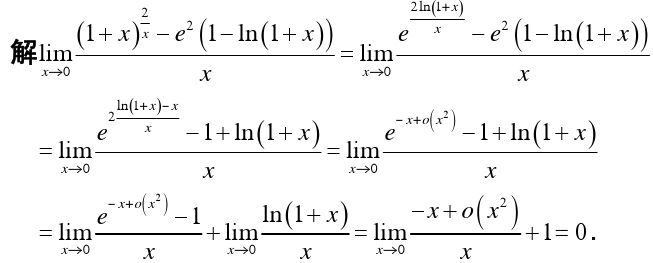
答案:
相关试题
1.
1 x→0
2.
29.求1=fu(1 x)dx(>0
3.
f(x)=A、[ 1 8 , 1 3 )B、[0, 1 3 ]C、(0, 1 3 )D、(-∞, 1 3 ]
4.
1 1 1 1 1 0 1 1 1 1 0 0 1 1 1 0 0 0 1 1 0 0 0 0 1
5.
3.设F(X是f(x)的原函数,且F(x)·f(x)=2(1)2.F(0)=1(F(x)>0)求F(x)及fx
6.
(集合013)设集合A={x|x2–4≤0},B={x|2x+a≤0},且A∩B={x|–2≤x≤1},则a=()
7.
1 1 1 1 10 1 1 1 10 0 1 1 10 0 0 1 10 0 0 0 1
8.
13、设y=y(x)满足y" 2y y=0,且y(0)=0,y(0)=1,则y(x)dx
9.
已知二值医学图像IA=[0 0 0 0 0; 0 0 1 1 0; 0 0 1 1 0; 0 0 0 0 0; 0 0 0 0 0],结构元素IB=[0 1 0; 1 1 1; 0 1 0], 结构元素
10.
不等式 3|x| −1≥0的解集为
登录 - 搜搜题库网
登录
立即注册
已购买搜题包,但忘记账号密码?
登录即同意
《服务协议》
及
《隐私政策》
注册 - 搜搜题库网
获取验证码
确认注册
立即登录
登录即同意
《服务协议》
及
《隐私政策》