请在
下方输入
要搜索的题目:
搜 索
29.求1=fu(1 x)dx(>0
29.求1=fu(1 x)dx(>0
发布时间:
2025-10-31 05:39:53
首页
国家电网试题
推荐参考答案
(
由 题搜搜 官方老师解答 )
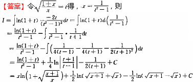
答案:
相关试题
1.
29.求1=fu(1 x)dx(>0
2.
( ) = ò ò y y dx y x
3.
x 1(4」03x 1 arctan x dx
4.
(xr-)-(1 sin"x)dx
5.
1 x→0
6.
求下列函数值:(1)已知函数f(x)=x3-3x2+4x+5,求f(1),f(-2)(2)已知函数f(x)=-2x2+3x,求f(0),f(-1),f(-x)
7.
13、设y=y(x)满足y" 2y y=0,且y(0)=0,y(0)=1,则y(x)dx
8.
1 1 1 1 1 0 1 1 1 1 0 0 1 1 1 0 0 0 1 1 0 0 0 0 1
9.
3.设F(X是f(x)的原函数,且F(x)·f(x)=2(1)2.F(0)=1(F(x)>0)求F(x)及fx
10.
设集合A={x|ax2-x-1=0},B={x|a3x4-2a2x2 a=x 1}.(1)求证:A⊆B;(2)若A=B=∅,求a的取值范围.
登录 - 搜搜题库网
登录
立即注册
已购买搜题包,但忘记账号密码?
登录即同意
《服务协议》
及
《隐私政策》
注册 - 搜搜题库网
获取验证码
确认注册
立即登录
登录即同意
《服务协议》
及
《隐私政策》