请在
下方输入
要搜索的题目:
搜 索
29.求1=
29.求1=
发布时间:
2025-11-20 03:45:02
首页
智慧树
推荐参考答案
(
由 题搜搜 官方老师解答 )
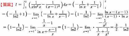
答案:
相关试题
1.
29.求1=
2.
29.求1=fu(1 x)dx(>0
3.
29.求im
4.
230.求1=
5.
31.求1=
6.
8.求1=。arin√1 xdx
7.
(1)求Dmax(2)求Tmax(3)求M1max(4)求M2max
8.
68.求1 x2
9.
15.求iman,其中an=√1 √i √ 1
10.
s1n一z47.求1=1limn 1 … "
登录 - 搜搜题库网
登录
立即注册
已购买搜题包,但忘记账号密码?
登录即同意
《服务协议》
及
《隐私政策》
注册 - 搜搜题库网
获取验证码
确认注册
立即登录
登录即同意
《服务协议》
及
《隐私政策》